DEFINICIÓN: Por la cual se establecen los procedimientos para los avalúos ordenados dentro del marco de la Ley 388 de 1997.
TEMA: Normas y procedimientos para la elaboración de avalúos comerciales
RESOLUCIÓN 620 DE 2008
(Septiembre 23)
INSTITUTO GEOGRÁFICO AGUSTÍN CODAZZI SEDE CENTRAL
Por la cual se establecen los procedimientos para los avalúos ordenados dentro del marco de la Ley 388 de 1997.
EL DIRECTOR GENERAL DEL INSTITUTO GEOGRÁFICO "AGUSTÍN CODAZZI",
en uso de las facultades legales y en especial de las que le confieren los estatutos aprobados por el Decreto 2113 de 1992, el Decreto 208 de 2004 y el Decreto 1420 de 1998,
CONSIDERANDO:
Que es de suma importancia tener procedimientos unificados, claros y actualizados para que las personas que se encarguen de realizar los avalúos especiales puedan contar con un marco único para su ejecución,
Ver el Decreto Nacional 1420 de 1998
RESUELVE:
CAPITULO. I
DEFINICIONES
ARTÍCULO 1o. MÉTODO DE COMPARACIÓN O DE MERCADO. Es la técnica valuatoria que busca establecer el valor comercial del bien, a partir del estudio de las ofertas o transacciones recientes, de bienes semejantes y comparables al del objeto de avalúo. Tales ofertas o transacciones deberán ser clasificadas, analizadas e interpretadas para llegar a la estimación del valor comercial.
ARTÍCULO 2o. MÉTODO DE CAPITALIZACIÓN DE RENTAS O INGRESOS. Es la técnica valuatoria que busca establecer el valor comercial de un bien, a partir de las rentas o ingresos que se puedan obtener del mismo bien, o inmuebles semejantes y comparables por sus características físicas, de uso y ubicación, trayendo a valor presente la suma de los probables ingresos o rentas generadas en la vida remanente del bien objeto de avalúo, con una tasa de capitalización o interés.
PARÁGRAFO. Se entiende por vida remanente la diferencia entre la vida útil del bien y la edad que efectivamente posea el bien. Para inmuebles cuyo sistema constructivo sea muros de carga, la vida útil será de 70 años y, para los que tengan estructura en concreto, metálica o mampostería estructural, la vida útil será de 100 años.
ARTÍCULO 3o. MÉTODO DE COSTO DE REPOSICIÓN. Es el que busca establecer el valor comercial del bien objeto de avalúo a partir de estimar el costo total de la construcción a precios de hoy, un bien semejante al del objeto de avalúo, y restarle la depreciación acumulada. Al valor así obtenido se le debe adicionar el valor correspondiente al terreno. Para ello se utilizará la siguiente fórmula:
Vc = {Ct – D} + Vt
En donde:
Vc = Valor comercial
Ct = Costo total de la construcción
D = Depreciación
Vt = Valor del terreno.
PARÁGRAFO. Depreciación. Es la porción de la vida útil que en términos económicos se debe descontar al inmueble por el tiempo de uso, toda vez que se debe avaluar la vida remanente del bien.
Existen varios sistemas para estimar la depreciación, siendo el más conocido el Lineal, el cual se aplicará en el caso de las maquinarias adheridas al inmueble. Para la depreciación de las construcciones se deben emplear modelos continuos y no los discontinuos o en escalera. Deberá adoptarse un sistema que tenga en cuenta la edad y el estado de conservación, tal como lo establece Fitto y Corvini, para lo cual se presentan las ecuaciones resultantes del ajuste para los estados 1, 2, 3 y 4. (Ver Capítulo VII De las Fórmulas Estadísticas).
ARTÍCULO 4o. MÉTODO (TÉCNICA) RESIDUAL. Es el que busca establecer el valor comercial del bien, normalmente para el terreno, a partir de estimar el monto total de las ventas de un proyecto de construcción, acorde con la reglamentación urbanística vigente y de conformidad con el mercado del bien final vendible, en el terreno objeto de avalúo.
Para encontrar el valor total del terreno se debe descontar, al monto total de las ventas proyectadas, los costos totales y la utilidad esperada del proyecto constructivo. Es indispensable que además de la factibilidad técnica y jurídica se evalúe la factibilidad comercial del proyecto, es decir la real posibilidad de vender lo proyectado.
PARÁGRAFO. Este método (técnica) debe desarrollarse bajo el principio de mayor y mejor uso, según el cual el valor de un inmueble susceptible de ser dedicado a diferentes usos será el que resulte de destinarlo, dentro de las posibilidades legales y físicas, al económicamente más rentable, o si es susceptible de ser construido con distintas intensidades edificatorias, será el que resulte de construirlo, dentro de las posibilidades legales y físicas, con la combinación de intensidades que permita obtener la mayor rentabilidad, según las condiciones de mercado.
ARTÍCULO 5o. CLASIFICACIÓN DEL SUELO. La clasificación del suelo en urbano, de expansión urbana, rural, suburbano y de protección, son clases y categorías establecidas en el Capítulo IV de la Ley 388 de 1997. Por lo tanto, para establecer si un predio se encuentra dentro de cualquiera de ellas, el único elemento a tener en cuenta es el acuerdo que adopta el Plan de Ordenamiento Territorial que define dicha clasificación. (Ver artículos 30 a 35 de la Ley 388 de 1997).
ARTÍCULO 6o. ETAPAS PARA ELABORACIÓN DE LOS AVALÚOS. Para la elaboración de los avalúos utilizando cualquiera de los métodos enunciados anteriormente deben realizarse las siguientes etapas:
1. Revisión de la documentación suministrada por la entidad peticionaria, y si hace falta algo de lo previsto en el artículo 13 del Decreto 1420 de 1998 se procede a solicitarlo por escrito.
2. Definir y obtener la información que adicionalmente se requiere para la correcta identificación del bien. Se recomienda especialmente cartografía de la zona o fotografía aérea, para la mejor localización del bien.
3. De conformidad con lo previsto en el artículo 14 del Decreto 1420 de 1998, verificar la reglamentación urbanística vigente en el municipio o distrito donde se encuentre localizado el inmueble. En el evento de contar con un concepto de uso del predio emitido por la entidad territorial correspondiente, el avaluador deberá verificar la concordancia de este con la reglamentación urbanística vigente.
4. Reconocimiento en terreno del bien objeto de avalúo. En todos los casos dicho reconocimiento deberá ser adelantado por una persona con las mismas características técnicas y profesionales de la persona que ha de liquidar y firmar el avalúo.
5. Siempre que sea necesario se verificarán las mediciones y el inventario de los bienes objeto de la valoración. En caso de edificaciones deberán constatarse en los planos las medidas y escalas en que se presente la información. Y cuando se observen grandes inconsistencias con las medidas, se informará al contratante sobre las mismas.
6. En la visita de reconocimiento deberán tomarse fotografías que permitan identificar las características más importantes del bien, las cuales posteriormente permitirán sustentar el avalúo.
7. Cuando se realicen las encuestas, deberán presentarse las fotografías de los inmuebles, a los encuestados para una mayor claridad del bien que se investiga.
8. Aun cuando el estudio de los títulos es responsabilidad de la entidad interesada, una correcta identificación requiere que el perito realice una revisión del folio de matrícula inmobiliaria para constatar la existencia de afectaciones, servidumbres y otras limitaciones que puedan existir sobre el bien, excepto para la determinación de los avalúos en la participación de plusvalías.
ARTÍCULO 7o. IDENTIFICACIÓN FÍSICA DEL PREDIO. Una correcta identificación física del predio deberá hacerse teniendo en cuenta los siguientes aspectos:
1. Localización, dirección clara y suficiente del bien. En las entidades Territoriales con múltiples nomenclaturas, es necesario hacer referencia a ellas como un elemento de claridad de la identificación.
2. Los linderos y colindancias del predio. Para una mejor localización e identificación de los linderos y colindantes el número catastral es de gran ayuda, por lo cual, si en la información suministrada por la entidad peticionaria no está incluido, el perito lo debe conseguir.
3. Topografía. Caracterización y descripción de las condiciones fisiográficas del bien. Es indispensable en este aspecto detectar limitaciones físicas del predio tales como taludes, zonas de encharcamiento, o inundación permanente o periódica del bien.
4. Servicios públicos. Investigación de la existencia de redes primarias, secundarias y acometidas a los servicios públicos. Adicionalmente, la calidad de la prestación de los servicios, referidos a factores tales como volumen y temporalidad de la prestación del servicio. En caso de que la zona o el predio cuente con servicios complementarios (teléfono, gas, alumbrado público), estos deben ser tenidos en cuenta.
5. En cuanto a las vías públicas, además de establecer la existencia y sus características, es necesario tener en cuenta el estado de las mismas. Como elemento complementario es importante analizar la prestación del servicio de transporte. En el análisis de las vías inmediatas y adyacentes, debe tenerse en cuenta: Tipo de vía, características y el estado en que se encuentran.
PARÁGRAFO. Para una mejor identificación física de los predios, se recomienda la consulta de las Zonas Homogéneas Físicas que determina la entidad catastral, las cuales suministran en forma integrada información del valor potencial, la pendiente, el clima, las vías, disponibilidad de aguas superficiales, uso del suelo, en la zona rural. La pendiente, uso del suelo y de las construcciones, servicios públicos domiciliarios, vías y tipología de las construcciones dedicadas a la vivienda en las zonas urbanas.
El tamaño y la forma del predio. Cuando la norma de uso defina tamaño mínimo para adelantar construcciones, es indispensable comparar dichos parámetros legales con el del predio para determinar el precio.
Es necesario tener en cuenta que no siempre a mayor tamaño del predio, el precio unitario es menor, sino que está relacionado con la tendencia de usos en la zona permitidos por la norma urbanística.
En cuanto a la forma, sin pretender que exista una forma óptima, la que tenga el predio puede influir en la determinación del precio unitario, por ejemplo predios con frentes muy estrechos sobre la vía tienen un impacto negativo sobre el precio unitario.
Uso. Es indispensable tener en cuenta el uso que se le esté dando al bien para compararlo con el legalmente autorizado por las normas urbanísticas, pues cuando el uso no corresponda al permitido, no se tendrá en consideración para la determinación del valor comercial y deberá dejarse expresa constancia de tal situación en el avalúo.
ARTÍCULO 8o. IDENTIFICACIÓN LEGAL. En el aspecto legal se debe prestar especial atención a las afectaciones de uso que pesen sobre los inmuebles y para lo cual es necesario verificar que en el folio de matrícula inmobiliaria se encuentre inscrita tal afectación, teniendo en cuenta lo prescrito en el artículo 37 de la Ley 9ª de 1989, así como a los plazos de validez de la afectación. En caso de no estar inscrita la afectación, se considera inexistente para efectos del avalúo.
Cuando el bien objeto de avalúo haga referencia a construcciones, instalaciones y anexos, es necesario tener en cuenta los materiales que la conforman y el estado de conservación en que se encuentran, además de su edad.
Cuando existan servidumbres aparentes y continuas sobre el bien deberán tenerse en cuenta en el avalúo y dejar constancia de esta situación.
PARÁGRAFO. Es necesario que el perito establezca si existe pago de la servidumbre para ser descontado del valor final o por el contrario manifestar el hecho.
ARTÍCULO 9o. CONSULTA A EXPERTOS AVALUADORES O ENCUESTAS. Cuando para la realización del avalúo se acuda a encuestas, es necesario tener en cuenta que estas son un apoyo al proceso valuatorio, pero no son en sí los determinantes del avalúo. En este sentido, es necesario que el perito haya realizado previamente la visita al terreno para conocer la clase de bien que avalúa.
La encuesta debe hacer referencia al propio bien investigado y debe constatarse que el entrevistado lo conoce tanto en sus aspectos negativos como positivos. Si existen limitantes legales, debe hacerse mención de ellas para que el encuestado lo tenga en cuenta en la estimación del valor.
El perito avaluador debe informar con toda claridad sobre la normatividad urbanística del inmueble. En el caso de terrenos sin construir, en desarrollo o condición similar, se debe aportar al encuestado los cálculos previos realizados de la potencialidad urbanística y de desarrollo del predio.
Las encuestas solo se podrán realizar cuando el perito no haya podido obtener datos (ofertas o transacciones recientes) o cuando tenga dudas de los resultados encontrados.
La encuesta debe hacerse con referencia a las unidades de área que usualmente se utilizan en la zona (hectárea, fanegada, plaza, cuadra) y posteriormente hacer la conversión.
La encuesta debe hacerse para unidades de área, y verificar que al hacer la liquidación del total del área de avalúo la persona encuestada encuentre razonable el valor hallado.
Cuando el predio cuente con características diferentes dentro de él, la encuesta debe hacerse para cada una de ellas separadamente y no sobre valores promedios.
El perito debe haber hecho una estimación previa del valor asignable y, cuando la información obtenida en la encuesta difiera sustancialmente del encontrado, deberá manifestarlo para que el encuestado pueda explicar las posibles razones de tal diferencia.
En la selección de la persona a investigar debe tenerse en cuenta el conocimiento que tenga del mercado y la idoneidad de ella, además que no tengan interés directo en el bien.
Los valores obtenidos por encuesta no se podrán incluir como parte de la definición del precio y, por lo tanto, no podrán incluirse o promediarse con los valores encontrados en el mercado. Esta prohibición se aplica tanto a las valoraciones puntuales como a las técnicas masivas de valoración.
PARÁGRAFO. En el caso de que el avalúo se soporte únicamente en encuestas, el perito deberá dejar constancia bajo gravedad de juramento, escrita en el informe que la utilización de esta modalidad se debe a que en el momento de la realización del avalúo no existían ofertas de venta, arriendo, ni transacciones de bienes comparables al del objeto de estimación.
CAPITULO. II
APLICACIÓN DE LOS MÉTODOS.
ARTÍCULO 10. MÉTODO DE COMPARACIÓN O DE MERCADO. Cuando para la realización del avalúo se acuda a información de ofertas y/o transacciones, es necesario que en la presentación del avalúo se haga mención explícita del medio del cual se obtuvo la información y la fecha de publicación, además de otros factores que permitan su identificación posterior.
Para los inmuebles no sujetos al régimen de propiedad horizontal, el valor del terreno y la construcción deben ser analizados en forma independiente para cada uno de los datos obtenidos con sus correspondientes áreas y valores unitarios. Para los inmuebles sujetos al régimen de propiedad horizontal se debe presentar el valor por metro cuadrado de área privada de construcción.
Se debe verificar que los datos de áreas de terreno y construcción sean coherentes.
En los eventos en que sea posible, se deben tomar fotografías de los predios en oferta o de los que se ha obtenido datos de transacción para facilitar su posterior análisis.
ARTÍCULO 11. DE LOS CÁLCULOS MATEMÁTICOS ESTADÍSTICOS Y LA ASIGNACIÓN DE LOS VALORES. Cuando para el avalúo se haya utilizado información de mercado de documentos escritos, estos deben ser verificados, confrontados y ajustados antes de ser utilizados en los cálculos estadísticos.
Se reitera que la encuesta solo se usará para comparar y en los eventos de no existir mercado. En los casos que existan datos de ofertas, de transacciones o de renta producto de la aplicación de los métodos valuatorios, la encuesta no podrá ser tenida en cuenta para la estimación del valor medio a asignar.
Para tal fin es necesario calcular medidas de tendencia central y la más usual es la media aritmética. Siempre que se acuda a medidas de tendencia central, es necesario calcular indicadores de dispersión tales como la varianza y el coeficiente de variación (Ver Capítulo VII De las Fórmulas Estadísticas).
Cuando el coeficiente de variación sea inferior: a más (+) o a menos (-) 7,5%, la media obtenida se podrá adoptar como el más probable valor asignable al bien.
Cuando el coeficiente de variación sea superior: a más (+) o a menos (-) 7,5%, no es conveniente utilizar la media obtenida y por el contrario es necesario reforzar el número de puntos de investigación con el fin de mejorar la representatividad del valor medio encontrado.
En caso de que el perito desee separarse del valor medio encontrado, deberá calcular el coeficiente de asimetría (ver Capítulo VII De las Fórmulas Estadísticas) para establecer hacia dónde tiende a desplazarse la información, pero no podrá sobrepasar el porcentaje encontrado en las medidas de dispersión.
Cuando las muestras obtenidas sean para hallar el valor de las construcciones y se quieran trabajar en un sistema de ajuste de regresión, será necesario que se haga por lo menos el ajuste para tres ecuaciones (ver Capítulo VII De las Fórmulas Estadísticas) y se tomará la más representativa del mercado.
ARTÍCULO 12. Cuando se trate de avaluar un lote cuya forma es irregular respecto de los lotes investigados, este valor debe ser ajustado para el bien objeto de valoración, utilizando fórmulas o sistemas adecuados, como los que se presentan en Capítulo VII - De las fórmulas Estadísticas de la presente resolución: valor final de terreno por influencia de forma.
ARTÍCULO 13. MÉTODO DE COSTO DE REPOSICIÓN. En desarrollo de este método se debe entender por costo total de la construcción la suma de los costos directos, costos indirectos, los financieros y los de gerencia del proyecto, en que debe incurrirse para la realización de la obra. Después de calculados los volúmenes y unidades requeridos para la construcción, se debe tener especial atención con los costos propios del sitio donde se localiza el inmueble.
Al valor definido como costo total se le debe aplicar la depreciación.
PARÁGRAFO 1o. Este método se debe usar en caso de que el bien objeto de avalúo no cuente con bienes comparables por su naturaleza (colegios, hospitales, estadios, etc.) o por la inexistencia de datos de mercado (ofertas o transacciones) y corresponda a una propiedad no sujeta al régimen de propiedad horizontal.
PARÁGRAFO 2o. Para depreciar los equipos especiales que posea el bien, se emplea el método lineal, tomando en cuenta la vida remanente en proporción a la vida útil establecida por el fabricante.
ARTÍCULO 14. MÉTODO (TÉCNICA) RESIDUAL. En desarrollo de este método (técnica), se debe tener en cuenta:
Para el cálculo de ventas totales, se debe analizar el tipo de producto que por efectos del principio de mayor y mejor uso se pueda dar sobre el predio, para lo cual se deben referenciar las ofertas de inmuebles comparables y semejantes al proyecto planteado, así como las características de áreas, valores de venta, elementos del proyecto, entre otros que este tenga.
El costo total es la suma del costo de urbanismo asociado al proyecto y/o plan parcial y el costo de la construcción siendo este la suma de los costos directos, costos indirectos, los financieros y los de gerencia del proyecto, teniendo en cuenta los volúmenes y unidades requeridas para el proyecto planteado.
El costo de urbanismo se establece como la suma de los costos para habilitar el suelo a usos específicos e incluye las cargas asociadas a su desarrollo.
La utilidad esperada debe ser concordante con los usos y su estratificación, ubicación espacial, especificaciones del tipo de proyecto que sobre el predio se plantee, teniendo en cuenta las condiciones de renta fija presentes en el momento del cálculo, así como la tasa interna de retorno y que el valor presente de este proyecto sea como mínimo igual a cero.
El valor resultante de esta técnica es el valor total del inmueble, es decir, del valor del terreno y del valor de la construcción sobre él edificada, por lo tanto, al valor obtenido no se debe agregar el valor de la construcción.
Cuando se requiera presentar en el avalúo de forma independiente, tanto el valor del terreno como el de la construcción, se deberá hacer de la siguiente forma: calcular por el método de reposición el valor de la construcción y descontarla al valor total del inmueble.
ARTÍCULO 15. Para la estimación del precio de un terreno en bruto, cuando por las condiciones del mercado no se pueda estimar directamente, se calculará partiendo del valor del terreno urbanizado, y se aplicará la siguiente fórmula:
![]()
En donde:
| % AU | Porcentaje área útil. |
| Vtu | Valor del terreno urbanizado. |
| g | Ganancia por la acción de urbanizar. |
| Cu | Costos de urbanismo. |
(Debe incluir los costos financieros y no solo los de obra).
PARÁGRAFO 1o. Por porcentaje de área útil se entiende el resultado de dividir el área útil de cada predio, por el área total de cada predio o predios sujetos a plan parcial; al tenor de lo establecido en el Decreto 2181 de 2006.
PARÁGRAFO 2o. Es necesario tener en cuenta que las obras de urbanismo guarden relación con el tipo de proyecto que la norma determine.
ARTÍCULO 16. MÉTODO DE CAPITALIZACIÓN DE RENTAS O INGRESOS. Es necesario realizar la investigación de los contratos que regulen la posibilidad de generar rentas o ingresos, tales como los de arrendamiento, para bienes comparables y deben tenerse en cuenta aspectos tales como:
1. Que dichos contratos tengan menos de un (1) año de suscritos.
2. Que el canon de arrendamiento no sobrepase los topes legales.
3. Que los montos relacionados con el pago de servicios públicos y las cuotas de administración, no se incluyan en el cálculo correspondiente para la aplicación del método.
4. Los arrendamientos a comparar deben referirse a inmuebles que tengan rentas de acuerdo con la norma de uso del terreno o de las construcciones.
5. Las rentas a tener en cuenta para el cálculo del valor comercial de la propiedad deben estar asociadas exclusivamente al inmueble y no a la rentabilidad de la actividad económica que en él se realiza.
6. La tasa de capitalización (i) utilizada en este método debe proceder de la relación calculada entre el canon de renta y el valor comercial de las propiedades similares al inmueble objeto de avalúo, en función del uso o usos existentes en el predio y de localización comparable.
ARTÍCULO 17. El método de capitalización de ingresos para aplicarlo a cultivos deberá referirse a ingresos netos del cálculo de flujo de caja, traídos a valor presente. Debe mejorarse, haciendo claridad respecto a la inversión o costo de instalación y los costos de mantenimiento del cultivo de su etapa improductiva, lo mismo que al arrendamiento.
CAPITULO. III
PROCEDIMIENTOS ESPECÍFICOS
ARTÍCULO 18. AVALÚOS DE BIENES SOMETIDOS AL RÉGIMEN DE PROPIEDAD HORIZONTAL. El avalúo se practicará únicamente para las áreas privadas que legalmente existan, teniendo en cuenta los derechos provenientes de los coeficientes de copropiedad.
En los bienes que están sometidos al régimen de propiedad horizontal, la identificación debe hacerse en dos sentidos:
1. Conformidad del régimen de propiedad con las normas generales. Las cubiertas son bienes comunes, así se hayan establecido como área privada.
2. La conformidad de las áreas existentes con las establecidas en el régimen de propiedad horizontal.
3. Cuando el bien se refiera a parqueaderos o garajes es necesario establecer si tienen restricciones tales como servidumbres, o se refieren a bienes comunes de uso exclusivo, que aun cuando influyen en el avalúo, no se les debe asignar valor independiente.
4. Los bienes comunes son inseparables de las áreas de derecho privado, lo que restringe su comercialización independiente y esto influye en su valor comercial, así estos sean de uso exclusivo.
ARTÍCULO 19. AVALÚOS DE BIENES NO SOMETIDOS AL RÉGIMEN DE PROPIEDAD HORIZONTAL. Cuando el bien no esté sometido al régimen de propiedad horizontal, pero por su uso y conformación se asimile, ya sean a oficinas, locales o unidades independientes, como apartamentos y demás, si la investigación se realizó para bienes que sí están sometidos a régimen de propiedad horizontal, es necesario que para la correcta liquidación se realice la siguiente operación:
![]()
![]()
En donde:
V. T. Valor Total de la propiedad
A.P. Area Privada
A.T.C. Area Total Construida
A.C. Areas Comunes
V.U. P. Valor Unitario Privado
Si los garajes o parqueaderos tienen servidumbre, los precios no podrán asimilarse a los que no tienen esta restricción.
Los valores unitarios investigados ya incluyen el valor del terreno, por lo tanto el resultado obtenido (V.T.) corresponde al valor comercial de todo el inmueble por lo cual no debe agregarse el valor del terreno.
ARTÍCULO 20. PROCEDIMIENTO EN CASO DE SOLICITUDES DE VIVIENDA DE INTERÉS SOCIAL (VIS). Cuando se requiera realizar avalúos destinados para que la autoridad competente establezca si una vivienda o grupo de viviendas tienen el carácter de Vivienda de Interés Social deberá adoptarse el siguiente procedimiento:
1. Para el avalúo de la construcción: El perito podrá seleccionar una muestra tomando como base el archivo catastral del barrio, urbanización o zona, que incluya calificaciones de construcciones mínimas, medias y máximas, con una cobertura espacial representativa y donde se incorporen predios con grandes áreas de construcción.
Con las fichas catastrales de los predios seleccionados deberá realizar un recorrido y una comprobación de las calificaciones. Dentro del recorrido deberá complementar la muestra visitando aquellas viviendas que tengan las mejores características constructivas y procederá a calificarlas con el mismo formulario que se empleó para las otras. En estos casos es necesario que se tome como mínimo la información del nombre del propietario, ocupante o poseedor, dirección y número predial, con la cual podrá verificar en la oficina de catastro sus inscripciones.
Una vez se verifiquen las calificaciones de las construcciones procederá a realizar el avalúo comercial de los predios de la muestra. Para que la muestra tenga significancia estadística esta debe tener un mínimo de 15 datos, pero el número de puntos de investigación debe aumentarse en la medida que el universo a avaluar sea numeroso. Con esta muestra deberá proceder a realizar el cálculo de las ecuaciones (ver Capítulo VII - De las Fórmulas Estadísticas) y seleccionar la que mejor se ajuste al comportamiento de los precios del barrio o zona. Se debe tener en cuenta que la variable dependiente es el precio por metro cuadrado y la independiente es la calificación.
Con la ecuación seleccionada se estimarán unos avalúos incluidos en la muestra multiplicando las áreas de cada predio por el valor encontrado en la ecuación, con el fin de constatar los resultados obtenidos. Finalmente se liquidan los predios de todo el barrio o urbanización.
Cuando el barrio o zona no tenga formación catastral en la cual apoyarse se deberá visitar y calificar cada uno de los predios objeto de avalúo.
2. Para el avalúo del terreno: Para la realización del avalúo del terreno se podrán tomar como referencia las zonas homogéneas físicas que se encuentran vigentes en el municipio si estas tienen menos de dos (2) años. En caso de que las zonas tengan una antigüedad superior se tendrán en cuenta, pero se requiere que en el proceso se realice la actualización de las variables y en consecuencia se ajusten las zonas.
El procedimiento para estimar los valores de los avalúos previstos en el numeral 3 del artículo 3o del Decreto 540 de 1998 en aplicación de la Ley 1001 de 2005, es el siguiente:
Se deben investigar lotes de terreno en los cuales no existan construcciones.
En cada zona se deberá realizar investigación para un mínimo de tres lotes, número que debe ampliarse en función del área de la zona, número de predios, u otras características que den indicación que tres (3) son insuficientes. Si la media aritmética presenta una dispersión mayor al 7,5%, es necesario entrar a reforzar la investigación incluyendo nuevos puntos de muestra. Si la dispersión continúa, la zona física debe dividirse y generar dos o más zonas geoeconómicas.
Cuando en el programa de titulación se estén empleando los planos autorizados en el Decreto 2157 de 1995, la liquidación de los avalúos del terreno debe hacerse con el área reportada en el respectivo plano.
ARTÍCULO 21. CÁLCULO DEL VALOR DE LA COMPENSACIÓN DEBIDA POR LA AFECTACIÓN A CAUSA DE UNA OBRA PÚBLICA. La forma para calcular este valor será:
1. Estímese el valor comercial del bien antes de la afectación.
2. Tómese como base dicho valor y estime el rendimiento financiero, con la tasa de interés bancaria corriente certificada por la Superintendencia Financiera de Colombia existente en el momento de la afectación, el cual se multiplicará por el número de meses que dure la afectación.
3. Si el bien es susceptible de producir renta (independientemente que lo esté utilizando el propietario) dicho canon mensual multiplicado por el número de meses que dure la afectación, podrá tomarse como el valor de compensación durante el tiempo de afectación. Para su estimación deberán tomarse los valores de arrendamientos de bienes comparables que existan en el entorno.
4. Si la estimación de dicho valor se hace a "posteriori" independiente que se vaya a adquirir o no el predio; el valor de la compensación será calculado de la siguiente manera: Se calcula el avalúo comercial que tenía el bien en el momento de aplicarse la afectación legalmente y con base en dicho valor se calcula el rendimiento financiero, tomando la tasa de interés bancario menos lo que corresponda al IPC del período que estuvo afectado, siempre y cuando el bien siga en cabeza del propietario. (Ver Capítulo VII - De las Fórmulas Estadísticas).
Para estimar el monto de la compensación de las rentas o ingresos que se dejan de percibir por una limitación temporal o definitiva (numeral 6 del artículo 21, Decreto 1420 de 1998) se deberán tener en cuenta:
– Las declaraciones para efectos tributarios.
– El balance contable que se presente para la Cámara de Comercio.
En caso de que la empresa no esté obligada a presentar ninguna de las anteriores, deberá probar la utilidad neta del negocio de por lo menos los seis meses anteriores, mediante un estado de pérdidas y ganancias mensual firmado por un contador público titulado, con matrícula profesional vigente.
Esta utilidad neta mensual debe multiplicarse por los meses que se hayan establecido como período de compensación.
Si en el plan de ordenamiento o decisiones administrativas que configuran acciones urbanísticas se autorizan acciones generadoras de plusvalía en la zona y en ella existen afectaciones en razón del plan vial u otras obras públicas, es necesario tener en cuenta lo establecido en el artículo 78 de la Ley 388 de 1997 y el artículo 37 de la Ley 9ª de 1989, en lo que se refiere a las áreas.
ARTÍCULO 22. DETERMINACIÓN DEL VALOR DEL SUELO DE BIENES INMUEBLES DE INTERÉS CULTURAL. Para efecto de lo dispuesto en el literal b) del artículo 11 del Decreto-ley 151 de 1998, la determinación del valor comercial por metro cuadrado del suelo del inmueble limitado por el tratamiento urbanístico de conservación histórica o arquitectónica, se sujetará al siguiente procedimiento:
1. Determinar el valor total del inmueble aplicando el método de comparación o de mercado y/o el método de capitalización de rentas o ingresos.
2. El valor del suelo corresponderá a la diferencia del valor total del inmueble menos el costo de reposición como nuevo de la construcción aplicando la depreciación.
PARÁGRAFO. Hecho el cálculo anterior, se deberá dar aplicación a lo establecido en los literales c) y d) del artículo 11 del Decreto-ley 151 de 1998 y el parágrafo 2o del artículo 2o del Decreto 1337 de 2002 o la norma que los adicione, modifique o sustituya.
ARTÍCULO 23. VALORACIÓN DE PREDIOS EN ÁREAS DE RENOVACIÓN URBANA. La valoración de predios en áreas de renovación urbana que no cuenten con plan parcial o la norma específica para su desarrollo, se hará con base en las normas urbanísticas vigentes antes de la adopción del plan de ordenamiento territorial. Para la estimación del valor comercial se deberá emplear el método de renta y/o de mercado únicamente.
ARTÍCULO 24. VALORACIÓN DE PREDIOS INCLUIDOS EN LAS ÁREAS DE EXPANSIÓN URBANA. La valoración de predios en zonas de expansión que no cuenten con plan parcial, se hará con las condiciones físicas y económicas vigentes. Para la estimación del valor comercial deberá utilizarse el método de mercado y/o renta. En concordancia con lo previsto en el inciso 2o del artículo 29 del Decreto 2181 del 2006, la investigación de los precios del terreno debe tener en cuenta la condición de tierra rural, es decir, sus características agronómicas, agua, pendiente, ubicación y, en general, la capacidad productiva del suelo.
CAPITULO. IV
CÁLCULO DEL EFECTO PLUSVALÍA
ARTÍCULO 25. CÁLCULO DEL EFECTO PLUSVALÍA RESULTADO DE LA INCORPORACIÓN DEL SUELO RURAL AL DE EXPANSIÓN URBANA O DE LA CLASIFICACIÓN DE PARTE DEL SUELO RURAL COMO SUBURBANO. Para establecer el efecto de plusvalía debe observarse el siguiente procedimiento:
1. El precio comercial de los terrenos en cada una de las zonas o subzonas beneficiarias con características geoeconómicas homogéneas, antes de la acción urbanística generadora de la plusvalía, se determinará teniendo en cuenta las condiciones jurídicas, físicas y económicas vigentes antes de la adopción del plan de ordenamiento territorial. Para la estimación del valor comercial deberá emplearse el método de mercado y/o de renta. Este valor se denominará precio de referencia (P1).
2. Una vez se apruebe el plan parcial o las normas específicas de las zonas beneficiarias, mediante las cuales se asignen usos, intensidades y zonificación se determinará el nuevo precio comercial de los terrenos comprendidos en las correspondientes zonas o subzonas como equivalente al precio por m2 de terrenos con características similares de zonificación, uso, intensidad de uso y localización. Este valor se determinará haciendo uso del método (técnica) residual y el método de comparación o de mercado. Este valor se denominará nuevo precio de referencia (P2).
3. El mayor valor generado por m2, se estimará como la diferencia entre el nuevo precio de referencia (P2) y el precio comercial antes de la acción urbanística (P1), ajustado a valor presente aplicando el IPC a la fecha de adopción del plan parcial o de las normas específicas de las zonas o subzonas beneficiarias.
4. El efecto total de la plusvalía, para cada predio individual, será igual al mayor valor por metro cuadrado multiplicado por el total de la superficie objeto de la participación en la plusvalía.
ARTÍCULO 26. CÁLCULO DEL EFECTO PLUSVALÍA RESULTADO DEL CAMBIO DE USO. Para establecer el efecto de plusvalía debe observarse el siguiente procedimiento:
1. Se establecerá el precio comercial de los terrenos en cada una de las zonas o subzonas beneficiarias, con características geoeconómicas homogéneas, antes de la acción urbanística generadora de la plusvalía, utilizando cualquiera de los métodos valuatorios previstos en la presente resolución. Este valor se denominará precio de referencia (P1).
2. Se determinará el nuevo precio comercial en cada una de las zonas o subzonas consideradas, como equivalente al precio por metro cuadrado de terrenos con características similares de uso y localización. Para ello, se utilizará el método de comparación o mercado y/o (técnica) residual. Este precio se denominará nuevo precio de referencia (P2).
3. El mayor valor generado por metro cuadrado se estimará como la diferencia entre el nuevo precio de referencia (P2) y el precio comercial antes de la acción urbanística (P1).
4. El efecto total de la plusvalía, para cada predio individual, será igual al mayor valor por metro cuadrado multiplicado por el total de la superficie del predio objeto de la participación en la plusvalía.
PARÁGRAFO 1o. Si no existiere norma anterior que determinara los usos del suelo en la zona o subzona beneficiaria, se deberá tener en cuenta el uso predominante en la zona homogénea física correspondiente de conformidad con lo previsto en el parágrafo 3o del artículo 4o del Decreto 1788 de 2004.
Si existe norma, pero a pesar de ello se presenta un uso más rentable, el avalúo de la zona en las condiciones anteriores de que habla la ley debe hacerse según la norma legal y no bajo la condición de hecho.
PARÁGRAFO 2o. Para el avalúo de referencia deberá buscarse dentro del municipio una zona que presente características similares a las que se establecen en la acción urbanística, especialmente en cuanto al uso y realizar la investigación de mercado en ellas, para establecer el probable precio que adquirirá la tierra por causa de la nueva autorización de uso y que deberá entenderse como el precio de referencia.
Para este caso como en el anterior, las zonas homogéneas físicas elaboradas para efectos catastrales se utilizarán según lo dispuesto en el parágrafo 2o del artículo 6o del Decreto 1420 de 1998.
ARTÍCULO 27. CÁLCULO DEL EFECTO PLUSVALÍA RESULTADO DEL MAYOR APROVECHAMIENTO DEL SUELO. Cuando se autorice un mayor aprovechamiento del suelo, la determinación del precio comercial por metro cuadrado de los inmuebles en cada una de las zonas o subzonas beneficiarias, con características geoeconómicas homogéneas, antes y después de la acción urbanística generadora de la plusvalía, se hará con el método (técnica) residual y/o de mercado.
El cálculo del efecto total de plusvalía se realizará de conformidad con lo previsto en los numerales 2 y 3 del artículo 77 de la Ley 388 de 1997.
PARÁGRAFO. Cuando en el plan de ordenamiento territorial se determine el paso de suelo rural directamente a suelo urbano se deberá emplear el mismo método planteado en el artículo 25 de la presente resolución.
CAPITULO. V
OTRAS DISPOSICIONES.
ARTÍCULO 28. AVALÚO DE ÁREAS DE CESIÓN. Cuando sea necesario avaluar las áreas de cesión, para efectos de compensación, según lo autorizado en el artículo 7o de la Ley 9ª de 1989, el avalúo debe realizarse a valores comerciales del terreno urbanizado, así el terreno al momento del avalúo se encuentre en bruto.
ARTÍCULO 29. AVALÚOS EN LAS ZONAS RURALES. Los métodos enunciados anteriormente también se aplican en la zona rural pero es necesario tener en cuenta algunas particularidades propias de las áreas rurales:
-- Clasificación de los suelos según su capacidad de uso, manejo y aptitud.
-- Fuentes de agua natural o artificial y disponibilidad efectiva de ellas, en forma permanente o transitoria.
-- Vías internas y de acceso.
-- Topografía.
-- Clima, temperatura, precipitación pluviométrica y su distribución anual.
-- Posibilidades de adecuación.
-- Cultivos: tipo, variedad densidad de siembra, edad, estado fitosanitario, y cuando se refiera a bosques es necesario determinar claramente si este es de carácter comercial cultivado o protector.
PARÁGRAFO. Para una mejor estimación del valor de los cultivos es necesario que exista un inventario técnico del cultivo. Cuando se trate de bosques se debe solicitar a la entidad interesada que suministre un inventario forestal, para una correcta valoración.
ARTÍCULO 30. Además de los aspectos planteados a nivel general de los métodos, en los avalúos de bienes en las zonas rurales deben tenerse en cuenta aspectos tales como:
En la zona rural deberá registrarse la distancia en kilómetros desde la cabecera municipal hasta el sitio de acceso al bien, señalando la vía sobre la cual se hace el recorrido. En los casos en que se requiera más de un medio de transporte, deberán relacionarse las distancias en cada una de ellos.
En la zona rural deberán consultarse los estudios de suelos para conocer las condiciones agronómicas, que faciliten o impidan los cultivos. Al respecto debe conocerse el número de cosechas anuales.
En cuanto al agua deben tenerse en cuenta los requerimientos mínimos del cultivo y las características de las adecuaciones que se hayan introducido al terreno, tales como canales de riego y drenaje y la disponibilidad efectiva de aguas. Adicionalmente, deben estudiarse las condiciones de encharcamiento o inundación a que estén sujetos los bienes.
ARTÍCULO 31. En los bienes de tipo rural cuando se utilicen las encuestas debe verificarse si el valor asignado por el encuestado incluye las mejoras, tales como cultivos, construcciones y anexos o si por el contrario solo se refiere al suelo o terreno, y en caso de que no estén incluidas para su avalúo podrá emplearse el método de costo de reposición, o el precio de mercado que tiene una construcción similar, en la cabecera municipal respectiva.
Cuando en el avalúo de bienes rurales se deban incluir cultivos su valoración debe hacerse teniendo en cuenta el valor presente de la producción futura, descontando los costos de mantenimiento y explotación del mismo. (Flujo de caja neto).
PARÁGRAFO 1o. Con el objeto de descontar el efecto que pueda tener el mayor o menor tamaño de los predios en la muestra seleccionada deben ser de áreas equivalentes.
PARÁGRAFO 2o. Si el bien objeto de avalúo incluye construcciones, es necesario en las encuestas, determinar si el valor dado por los entrevistados también las incluyen.
ARTÍCULO 32. Para los cultivos se debe investigar en el municipio o región con los gremios respectivos los aspectos propios de ellos, tales como la productividad, el ciclo vegetativo, las variedades y densidades óptimas de siembra. Siempre deberá contarse con una estimación del área efectivamente sembrada.
ARTÍCULO 33. Para el avalúo de la maquinaria se debe tener en cuenta la marca, la capacidad, la edad, el estado de conservación, y debe observarse en funcionamiento. El método aplicado es el de reposición y la depreciación lineal. (Ver capítulo VII - De las Fórmulas Estadísticas).
PARÁGRAFO. Es necesario observar que en el campo existe una gran cantidad de maquinaria que por razón de haber superado la vida técnica o por obsolescencia funcional, no debería avaluarse pero que tiene un valor de uso y en consecuencia tiene un precio. En tal caso no podrá estimarse por menos del valor de salvamento.
CAPITULO. VI
DE LA CONTROVERSIA DE LOS AVALÚOS
ARTÍCULO 34. REVISIÓN DE LOS AVALÚOS. La revisión de los avalúos que realice directamente el Instituto Geográfico Agustín Codazzi, estará a cargo del Jefe de la División de Avalúos o quien haga sus veces y del perito que actuó directamente en la realización del mismo.
ARTÍCULO 35. IMPUGNACIÓN. La decisión de la impugnación en todos los casos estará a cargo del Subdirector de Catastro del Instituto Geográfico "Agustín Codazzi".
ARTÍCULO 36. Para resolver la impugnación, el Subdirector de Catastro del Instituto Geográfico "Agustín Codazzi" deberá tener en cuenta si la argumentación presentada como sustento se refiere al criterio de selección del método con el cual se realizó el avalúo, o si se refiere a la aplicación o desarrollo del método seleccionado.
Si se trata del primer caso, se definirá el método aplicable y si hay lugar a ello dispondrá la realización de un nuevo avalúo por el método adecuado.
En el segundo caso, señalará los errores cometidos y, si hay lugar a ello, dispondrá lo conducente para la aplicación y desarrollo correcto del método.
PARÁGRAFO. El Subdirector de Catastro, después de haber estudiado y definido lo previsto en este artículo, podrá comisionar a un funcionario del Instituto Geográfico Agustín Codazzi para que realice la práctica de las pruebas que se requieran para resolver la impugnación.
CAPITULO. VII
DE LAS FÓRMULAS ESTADÍSTICAS
ARTÍCULO 37. Las fórmulas que se presentan a continuación servirán de apoyo para la mejor utilización de los métodos valuatorios.
1. Media Aritmética: (X)
Es el número que se obtiene de dividir la suma de las observaciones por el número de ellas. Se formaliza mediante la siguiente expresión matemática.
![]()
![]()
En donde:
= Indica media aritmética.
= Signo que indica suma.
N = Número de casos estudiados.
= Valores obtenidos en la encuesta.
2. Desviación estándar: (S)
Se define como la raíz cuadrada de la suma de las diferencias de los valores de la encuesta con respecto a la media aritmética elevada al cuadrado y el resultado dividido por el número de casos estudiados, N. Esta definición se formaliza con la siguiente expresión:

En donde:
= Media aritmética.
= Dato de la encuesta.
N = Número de datos de la encuesta.
Cuando el número de casos (N) es pequeño (menos de 10 observaciones) se emplee N-1 como denominador.
3. Coeficiente de variación: (V)
Se define como la relación (división) que existe entre la desviación estándar y la media aritmética multiplicada por 100.
Esta definición se puede formalizar en la siguiente expresión:
![]()
En donde:
V = coeficiente de variación.
S = desviación estándar.
X = media aritmética.
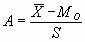
4. Coeficiente de asimetría: (A).
Expresado en la siguiente formulación:
![]()
En donde:
A = Coeficiente de asimetría.
= Media aritmética
Mo = Moda; siendo esta el valor que más se repite.
S = Desviación estándar.
Se tiene que existe asimetría positiva cuando el resultado tenga signo positivo en cuyo caso se debe entender que el valor asignable es superior al de la media aritmética. Si el signo es negativo o sea que tiene una asimetría negativa y por lo tanto la tendencia de los valores es menor que el encontrado en la media aritmética.
5. Ecuaciones para ajuste
1. Recta o función lineal.
![]()
2. Parábola de segundo grado.
![]()
3. Función Potencial.
![]()
4. Función exponencial.
![]()
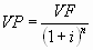
5. Valor presente.
![]()
En donde:
VP = Valor presente.
VF = Valor futuro, o valor de la suma de los flujos netos de caja del período total.
i = interés.
n = Número de períodos trimestrales, semestrales o anuales.
7. Valor de la compensación ("a posteriori")
![]()
En donde:
VC= Valor a compensar.
A = Avalúo.
i = Interés neto.
n = Número de períodos.
* = Multiplicación.
8. Capitalización
Estimación del precio utilizando la renta o arrendamiento de inmuebles. Para este fin se puede utilizar la siguiente expresión que formaliza la relación:
![]()
En donde:
A = Avalúo.
r = Arriendo.
i = Tasa de interés aplicable.
9. Depreciación
Ecuaciones para estimar el valor del porcentaje (%) a descontar del valor nuevo. Estas fórmulas relacionan el porcentaje de la vida y el estado de conservación basadas en las tablas de Fitto y Corvini.
Clase 1: Y = 0.0050 X2 + 0.5001 X – 0.0071
Clase 1.5: Y = 0.0050 X2 + 0.4998 X + 0.0262
Clase 2: Y = 0.0049 X2 + 0.4861 X + 2.5407
Clase 2.5: Y = 0.0046 X2 + 0.4581 X + 8.1068
Clase 3: Y = 0.0041 X2 + 0.4092 X + 18.1041
Clase 3.5: Y = 0.0033 X2 + 0.3341 X + 33.1990
Clase 4: Y = 0.0023 X2 + 0.2400 X + 52.5274
Clase 4.5 Y = 0.0012 X2 + 0.1275 X + 75.1530
Clase 1: El inmueble está bien conservado y no necesita reparaciones ni en su estructura ni en sus acabados.
Clase 2: El inmueble está bien conservado pero necesita reparaciones de poca importancia en sus acabados especialmente en lo que se refiere al enlucimiento.
Clase 3: El inmueble necesita reparaciones sencillas por ejemplo en los pisos o pañetes.
Clase 4: El inmueble necesita reparaciones importantes especialmente en su estructura.
Clase 5: El inmueble amenaza ruina por tanto su depreciación es del 100% conservación basadas en las tablas de Fitto y Corvini.
La tabla tal como se conoce trae estados intermedios, pero sólo se presenta el correspondiente al comprendido entre 4 y 5, como: Estado 4.5
Además:
X: Es el valor resultante de dividir la edad del inmueble (vetustez) por la vida útil, multiplicado por 100.
Y: Es el valor porcentual (%) a descontar por depreciación, del valor nuevo calculado.
![]()
En donde:
A = avalúo del bien.
= valor nuevo de la construcción.
= valor del terreno.
Y = valor porcentual a descontar.
* = multiplicación.
TABLA DE FITTO Y CORVINI (PARTE 1)
DEPRECIACION TOTAL DE UNA CONSTRUCCION EN % DE SU VALOR A NUEVO, DEBIDA A SU EDAD Y ESTADO DE CONSERVACION
| Edad en % de la vida | CLASES | ||||||||
| 1 | 1,50 | 2 | 2,50 | 3 | 3,50 | 4 | 4,50 | 5 | |
| 0 | 0,00 | 0,05 | 2,50 | 8,05 | 18,10 | 33,20 | 51,60 | 75,10 | 100,00 |
| 1 | 0,50 | 0,55 | 3,01 | 8,55 | 18,51 | 33,54 | 52,84 | 75,32 | 100,00 |
| 2 | 1,02 | 1,05 | 3,51 | 9,03 | 18,94 | 33,89 | 53,09 | 75,45 | 100,00 |
| 3 | 1,54 | 1,57 | 4,03 | 9,51 | 19,37 | 34,23 | 53,34 | 75,58 | 100,00 |
| 4 | 2,08 | 2,11 | 4,55 | 10,00 | 19,80 | 34,59 | 53,59 | 75,71 | 100,00 |
| 5 | 2,62 | 2,65 | 5,08 | 10,50 | 20,25 | 34,95 | 53,94 | 75,85 | 100,00 |
| 6 | 3,10 | 3,21 | 5,62 | 11,01 | 20,70 | 35,32 | 54,11 | 75,99 | 100,00 |
| 7 | 3,74 | 3,77 | 6,17 | 11,53 | 21,17 | 35,70 | 54,38 | 76,13 | 100,00 |
| 8 | 4,32 | 4,35 | 6,73 | 12,06 | 21,64 | 36,09 | 54,65 | 76,27 | 100,00 |
| 9 | 4,90 | 4,93 | 7,30 | 12,60 | 22,12 | 36,43 | 54,93 | 76,41 | 100,00 |
| 10 | 5,50 | 5,53 | 7,88 | 13,15 | 22,60 | 36,87 | 55,21 | 76,56 | 100,00 |
| 11 | 6,10 | 6,13 | 8,47 | 13,70 | 23,10 | 37,27 | 55,49 | 76,71 | 100,00 |
| 12 | 6,72 | 6,75 | 9,07 | 14,27 | 23,61 | 37,68 | 55,78 | 76,86 | 100,00 |
| 13 | 7,34 | 7,37 | 9,88 | 14,84 | 24,12 | 38,10 | 56,08 | 77,02 | 100,00 |
| 14 | 7,99 | 8,00 | 10,30 | 15,42 | 24,53 | 38,51 | 56,38 | 77,18 | 100,00 |
| 15 | 8,62 | 8,65 | 10,93 | 16,02 | 25,16 | 38,95 | 56,69 | 77,34 | 100,00 |
| 16 | 9,29 | 9,30 | 11,57 | 16,62 | 25,70 | 39,39 | 57,00 | 77,50 | 100,00 |
| 17 | 9,94 | 9,97 | 12,22 | 17,23 | 26,25 | 39,84 | 57,31 | 77,66 | 100,00 |
| 18 | 10,62 | 10,64 | 12,87 | 17,85 | 26,80 | 40,29 | 57,63 | 77,83 | 100,00 |
| 19 | 11,30 | 11,33 | 13,54 | 18,48 | 27,36 | 40,75 | 57,96 | 78,00 | 100,00 |
| 20 | 12,00 | 12,01 | 14,22 | 19,12 | 27,93 | 41,22 | 58,29 | 78,17 | 100,00 |
| 21 | 12,70 | 12,73 | 14,91 | 19,77 | 28,51 | 41,69 | 58,62 | 78,35 | 100,00 |
| 22 | 13,42 | 13,44 | 15,60 | 20,42 | 29,09 | 42,16 | 58,96 | 78,53 | 100,00 |
| 23 | 14,14 | 14,17 | 16,31 | 21,09 | 29,68 | 42,85 | 59,30 | 78,71 | 100,00 |
| 24 | 14,92 | 14,90 | 17,03 | 21,77 | 30,28 | 43,14 | 59,85 | 78,89 | 100,00 |
| 25 | 15,62 | 15,65 | 17,75 | 22,45 | 30,89 | 43,64 | 60,00 | 79,07 | 100,00 |
| 26 | 16,33 | 16,40 | 18,49 | 23,14 | 31,51 | 44,14 | 60,36 | 79,26 | 100,00 |
| 27 | 17,14 | 17,17 | 19,23 | 23,85 | 32,14 | 44,65 | 60,72 | 79,45 | 100,00 |
| 28 | 17,92 | 17,95 | 19,99 | 24,56 | 32,78 | 45,17 | 61,09 | 79,64 | 100,00 |
| 29 | 18,70 | 18,73 | 20,75 | 25,28 | 33,42 | 45,69 | 61,46 | 79,84 | 100,00 |
| 30 | 19,50 | 19,52 | 21,53 | 26,01 | 34,07 | 46,22 | 61,84 | 80,04 | 100,00 |
| (Parte 2) | |||||||||
| 31 | 20,30 | 20,33 | 22,31 | 26,75 | 34,73 | 46,76 | 62,22 | 80,24 | 100,00 |
| 32 | 21,12 | 21,15 | 23,11 | 27,50 | 35,40 | 47,31 | 62,61 | 80,44 | 100,00 |
| 33 | 21,94 | 21,97 | 23,90 | 28,26 | 36,07 | 47,86 | 63,00 | 80,64 | 100,00 |
| 34 | 22,78 | 22,80 | 24,73 | 29,03 | 36,76 | 48,42 | 63,40 | 80,85 | 100,00 |
| 35 | 23,62 | 23,64 | 25,55 | 29,80 | 37,45 | 48,98 | 63,80 | 81,06 | 100,00 |
| 36 | 24,48 | 24,50 | 26,38 | 30,59 | 38,15 | 49,55 | 64,20 | 81,27 | 100,00 |
| 37 | 25,34 | 25,34 | 27,23 | 31,38 | 38,86 | 50,13 | 64,61 | 81,48 | 100,00 |
| 38 | 26,22 | 26,24 | 28,08 | 32,19 | 39,57 | 50,71 | 65,03 | 81,70 | 100,00 |
| 39 | 27,10 | 27,12 | 28,94 | 33,00 | 40,30 | 51,30 | 65,45 | 81,92 | 100,00 |
| 40 | 28,00 | 28,02 | 29,81 | 33,82 | 41,03 | 51,90 | 65,87 | 82,14 | 100,00 |
| 41 | 28,90 | 28,92 | 30,70 | 34,66 | 41,77 | 52,51 | 66,30 | 82,37 | 100,00 |
| 42 | 29,82 | 29,84 | 31,59 | 35,50 | 42,52 | 53,12 | 66,73 | 82,60 | 100,00 |
| 43 | 30,74 | 30,76 | 32,49 | 36,35 | 43,28 | 53,74 | 67,17 | 82,83 | 100,00 |
| 44 | 31,68 | 31,70 | 33,40 | 37,21 | 44,05 | 54,36 | 67,61 | 83,06 | 100,00 |
| 45 | 32,62 | 32,64 | 34,32 | 38,08 | 44,82 | 54,99 | 68,06 | 83,29 | 100,00 |
| 46 | 33,58 | 33,60 | 35,25 | 38,95 | 45,60 | 55,63 | 68,51 | 83,53 | 100,00 |
| 47 | 34,54 | 34,56 | 36,19 | 39,84 | 46,39 | 56,23 | 68,97 | 83,77 | 100,00 |
| 48 | 35,52 | 35,54 | 37,14 | 40,74 | 47,19 | 56,93 | 69,43 | 84,01 | 100,00 |
| 49 | 36,50 | 36,52 | 38,10 | 41,64 | 48,00 | 57,59 | 69,90 | 84,25 | 100,00 |
| 50 | 37,50 | 37,52 | 39,07 | 42,56 | 48,81 | 58,25 | 70,37 | 84,50 | 100,00 |
| 51 | 38,50 | 38,52 | 40,05 | 43,48 | 49,63 | 58,92 | 70,85 | 84,75 | 100,00 |
| 52 | 39,52 | 39,53 | 41,04 | 44,41 | 50,46 | 59,60 | 71,33 | 85,00 | 100,00 |
| 53 | 40,54 | 40,56 | 42,04 | 45,35 | 51,30 | 60,28 | 71,82 | 85,25 | 100,00 |
| 54 | 41,58 | 41,59 | 43,05 | 46,30 | 52,15 | 60,97 | 72,31 | 85,51 | 100,00 |
| 55 | 42,62 | 42,64 | 44,07 | 47,26 | 53,01 | 61,67 | 72,80 | 85,77 | 100,00 |
| 56 | 43,68 | 43,69 | 45,10 | 48,24 | 53,87 | 62,39 | 73,30 | 86,03 | 100,00 |
| 57 | 44,74 | 44,76 | 46,14 | 49,22 | 54,74 | 63,09 | 73,81 | 86,29 | 100,00 |
| 58 | 45,82 | 45,83 | 47,19 | 50,20 | 55,62 | 63,81 | 74,32 | 86,56 | 100,00 |
| 59 | 46,90 | 46,92 | 48,25 | 51,20 | 56,51 | 64,53 | 74,83 | 86,83 | 100,00 |
| 60 | 48,00 | 48,01 | 49,32 | 52,20 | 57,41 | 65,26 | 75,35 | 87,10 | 100,00 |
| (Parte 3) | |||||||||
| 61 | 49,10 | 49,12 | 50,39 | 53,22 | 58,32 | 66,00 | 75,87 | 87,38 | 100,00 |
| 62 | 50,22 | 50,23 | 51,47 | 54,25 | 58,23 | 66,75 | 76,40 | 87,66 | 100,00 |
| 63 | 51,34 | 51,26 | 52,57 | 55,28 | 60,15 | 67,50 | 76,94 | 87,94 | 100,00 |
| 64 | 52,48 | 52,49 | 53,68 | 56,32 | 61,08 | 68,26 | 77,48 | 88,22 | 100,00 |
| 65 | 53,62 | 53,64 | 54,80 | 57,38 | 62,02 | 69,02 | 78,02 | 88,50 | 100,00 |
| 66 | 54,78 | 54,79 | 55,93 | 58,44 | 62,96 | 69,79 | 78,57 | 88,79 | 100,00 |
| 67 | 55,94 | 55,95 | 57,06 | 59,51 | 63,92 | 70,57 | 79,12 | 89,08 | 100,00 |
| 68 | 57,12 | 57,13 | 58,20 | 60,59 | 64,88 | 71,36 | 79,63 | 89,37 | 100,00 |
| 69 | 58,30 | 58,31 | 59,36 | 61,68 | 65,05 | 72,15 | 80,24 | 89,66 | 100,00 |
| 70 | 59,50 | 59,51 | 60,52 | 62,78 | 66,83 | 72,95 | 80,80 | 89,96 | 100,00 |
| 71 | 60,70 | 60,71 | 61,70 | 63,88 | 67,82 | 73,75 | 81,37 | 90,26 | 100,00 |
| 72 | 61,92 | 61,93 | 62,88 | 65,00 | 68,81 | 74,56 | 81,95 | 90,56 | 100,00 |
| 73 | 63,14 | 63,15 | 64,08 | 66,13 | 69,81 | 75,38 | 82,53 | 90,85 | 100,00 |
| 74 | 64,38 | 64,39 | 65,28 | 67,27 | 70,83 | 76,21 | 83,12 | 91,17 | 100,00 |
| 75 | 65,62 | 65,63 | 66,49 | 68,41 | 71,85 | 77,04 | 83,71 | 91,47 | 100,00 |
| 76 | 66,88 | 66,89 | 67,71 | 69,57 | 72,87 | 77,88 | 84,30 | 91,78 | 100,00 |
| 77 | 68,14 | 68,15 | 68,95 | 70,73 | 73,91 | 78,72 | 84,90 | 92,10 | 100,00 |
| 78 | 69,42 | 69,43 | 70,19 | 71,90 | 74,95 | 79,57 | 85,50 | 92,42 | 100,00 |
| 79 | 70,70 | 70,71 | 71,44 | 73,08 | 76,01 | 80,43 | 86,11 | 92,74 | 100,00 |
| 80 | 72,00 | 73,00 | 72,71 | 74,28 | 77,07 | 81,30 | 86,73 | 93,00 | 100,00 |
| 81 | 73,30 | 73,31 | 73,98 | 75,48 | 78,14 | 82,17 | 87,35 | 93,38 | 100,00 |
| 82 | 74,62 | 74,82 | 75,26 | 76,07 | 79,21 | 83,05 | 87,97 | 93,70 | 100,00 |
| 83 | 75,94 | 75,95 | 76,56 | 77,89 | 80,30 | 83,93 | 88,60 | 94,03 | 100,00 |
| 84 | 77,48 | 77,28 | 77,85 | 79,12 | 81,39 | 84,82 | 89,23 | 94,36 | 100,00 |
| 85 | 78,62 | 78,63 | 79,16 | 80,35 | 82,49 | 85,72 | 89,87 | 94,70 | 100,00 |
| 86 | 79,98 | 79,98 | 80,48 | 81,60 | 83,60 | 86,63 | 90,51 | 95,04 | 100,00 |
| 87 | 81,34 | 81,35 | 81,82 | 82,85 | 84,72 | 87,54 | 91,16 | 95,38 | 100,00 |
| 88 | 82,72 | 82,73 | 83,16 | 84,12 | 85,85 | 88,46 | 91,81 | 95,72 | 100,00 |
| 89 | 84,10 | 84,11 | 84,51 | 85,39 | 86,93 | 89,38 | 92,47 | 96,05 | 100,00 |
| 90 | 85,50 | 85,50 | 85,87 | 86,67 | 88,12 | 90,31 | 93,13 | 96,40 | 100,00 |
| (Parte 4) | |||||||||
| 91 | 86,90 | 86,90 | 87,23 | 87,69 | 89,27 | 91,25 | 93,79 | 96,75 | 100,00 |
| 92 | 88,32 | 88,32 | 88,61 | 89,26 | 90,43 | 92,20 | 94,46 | 97,10 | 100,00 |
| 93 | 89,74 | 89,74 | 90,00 | 90,57 | 91,57 | 93,15 | 95,14 | 97,45 | 100,00 |
| 94 | 91,18 | 91,18 | 91,40 | 91,89 | 92,77 | 94,11 | 95,82 | 97,01 | 100,00 |
| 95 | 92,62 | 92,62 | 92,81 | 93,22 | 93,96 | 95,07 | 96,50 | 98,17 | 100,00 |
| 96 | 94,08 | 94,08 | 94,93 | 94,56 | 95,15 | 96,04 | 97,19 | 98,53 | 100,00 |
| 97 | 95,54 | 95,54 | 95,66 | 95,61 | 95,35 | 97,02 | 97,89 | 98,89 | 100,00 |
| 98 | 97,02 | 97,02 | 97,10 | 97,26 | 97,56 | 98,01 | 98,59 | 98,26 | 100,00 |
| 99 | 98,50 | 98,50 | 98,54 | 99,63 | 98,78 | 99,00 | 99,29 | 99,63 | 100,00 |
| 100 | 100,00 | 100,00 | 100,00 | 100,00 | 100,00 | 100,00 | 100,00 | 100,00 | 100,00 |
9.1. Depreciación Lineal
![]()
![]()
![]()
En donde:
Da = Depreciación anual.
Pa = Precio actual.
Vs = Valor de salvamento.
Vu = Vida útil o técnica.
Dt = Depreciación total.
Au = Años de uso.
Vf = Valor final.
10. Interpolación de índices de precios
Cuando se requiera hacer interpolación de los valores del IPC para un día específico se hará de la siguiente forma:
*Se obtienen los valores del índice al último día del mes anterior y del mes correspondiente.
*Se resta el valor del mes anterior al del mes correspondiente.
*Al resultado se lo divide por 30, y este valor se multiplica por el número de días al que corresponda la fecha a la cual se desea interpolar.
11. Fórmulas para ajuste por condición de forma
a = Frente del predio que se avalúa (ms).
s = Area en metros cuadrado del predio que se avalúa (m2).
f = Fondo equivalente = s / a
ar = Frente del lote tipo de la zona.
Mi = Fondo mínimo de la zona.
Ma = Fondo máximo de la zona.
Vum= Valor unitario medio ($/m2).
Fp = Influencia del fondo.
t = Influencia del frente.
Vup = Valor unitario para el predio avaluado ($/m2).
Vup= Vum X Fp X t
CALCULO DE "Fp" – Influencia del fondo:
<![]()
![]()

>![]()
<
<![]()
CALCULO DE "t" – influencia del frente:
![]()
<![]()
>![]()

ARTÍCULO 38. La presente resolución rige a partir de su publicación en el Diario Oficial y deroga las Resoluciones 762 de 1998 y 149 de 2002 y todas las disposiciones que le sean contrarias.
Publíquese y cúmplase
Dada en Bogotá, D. C., a 23 de septiembre de 2008
El Director General,
IVÁN DARÍO GÓMEZ GUZMÁN
NOTA: Publicada en el Diario Oficial 47.124 de septiembre 26 de 2008.
Fuente:
http://www.alcaldiabogota.gov.co/sisjur/normas/Norma1.jsp?i=36158

